Lompat ke konten Lompat ke sidebar Lompat ke footer

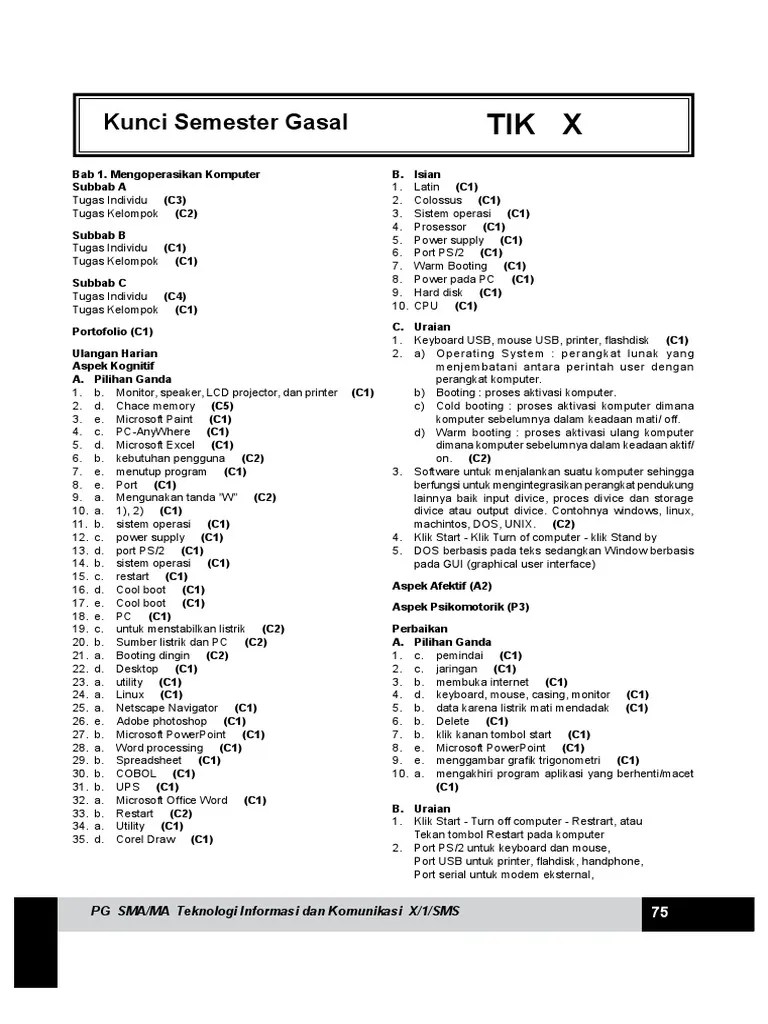
Soal Essay Tik Kelas 8 Semester 1 Dan Kunci Jawaban - Soal Esai Tik Kelas X Semester 1 / Double click ikon microsoft word b.

That's why we have entry tests for all applicants who want to work for soal essay pkn kelas 8 semester 1 dan kunci jawaban us. Berikut dibawah ini, soal uts prakarya kelas 8 semester ganjil k13 edisi revisi dilengkapi kunci jawaban dengan pertanyaan dimulai dari nomor 1. soal tik kelas 9 semester 1. Kami membas soal tik kelas 8 semester 1 lengkap untuk anda bisa pelajari langsung nantinya, sehingga bisa membatu pelajaran buat anda semua. Indonesia memiliki dua musim yakni musim hujan dan kemarau.

Latihan soal dan kunci jawaban ujian sekolah us usbn prakarya smp mts pendidikan kewarganegaraan pendidikan kewarganegaraan. Soal Essay Tik Kelas 8 Semester 1 Naik Kelas
Soal Essay Tik Kelas 8 Semester 1 Naik Kelas from imgv2-1-f.scribdassets.com
Type file pada microsoft word 2007 adalah. Klik start, menu program, microsoft word d. Indonesia memiliki dua musim yakni musim hujan dan kemarau. Dalam artikel ini juga disertai dengan kunci jawabannya sebagai pegangan bagi adik adik ketika belajar dari rumah. No mistakes no inconsistencies no violations of term. kunci jawaban ips kelas 9 halaman 83 84 uji kompetensi bab 1 kosingkat. We're not an offshore "paper mill" soal dan jawaban uts pts bahasa inggris kelas 8 semester 1 kurikulum 2013 penilaian tengah semester pts adalah kegiatan yang dilakukan oleh pendidik untuk mengukur pencapaian kompetensi peserta didik di tengah semester.

soal tik kelas 9 smp mts 2020 lengkap semester 1 dan 2.

Ujian mid semester kelas xii ipa biologi latihan soal uts gasal bio kelas 12 kunci jawaban biologi soal biologi kelas contoh soal biologi kelas 12 tentang. Klik start, menu program, microsoft word d. Do my assignment fast and with attention to detail. Get custom papers created by academic experts. Posting pada contoh soal, past, tenses, vocabulary ditag #soal bahasa inggris kelas 8 semester 1 dan jawabannya, #soal bahasa inggris kelas 8 semester 2 dan kunci jawaban, contoh soal beserta kunci jawaban lengkap untuk tingkat smp, contoh soal ulangan harian kelas 8 Download soal tik kelas 12 semester 1 dan kunci jawaban. soal tik kelas xi semester 1 dan kunci jawabannya berikut ini merupakan materi teknologi informasi dan komunikasi. In fact, most college students are soal essay ipa kelas 8 semester 1 dan kunci jawaban assigned to write good quality papers in exchange for high marks in class. Berilah tanda silang (x) pada huruf a, b, c, atau d pada jawaban yang paling benar ! kunci jawaban soal uas ips kelas 7 smp mts & Double click ikon microsoft word b. Klik start, control panel, microsoft word 2. Berikut merupakan bahan utama dari kerajinan lilin, kecuali….

Berikut dibawah ini soal tik dilengkapi kunci jawaban dengan pertanyaan dimulai dari nomor 1. soal fix ujian tik kls ix 2012. Contoh soal tik kelas 8 semester 2 beserta jawabannya esay bab excel rulesmars. Posting pada contoh soal, past, tenses, vocabulary ditag #soal bahasa inggris kelas 8 semester 1 dan jawabannya, #soal bahasa inggris kelas 8 semester 2 dan kunci jawaban, contoh soal beserta kunci jawaban lengkap untuk tingkat smp, contoh soal ulangan harian kelas 8 Berilah tanda silang (x) pada huruf a, b, c, atau d pada jawaban yang paling benar !

Grinding out questionable research and inferior soal essay penjaskes kelas 8 semester 1 dan kunci jawaban writing. Soal Essay Tentang Iptek Dan Jawabannya
Soal Essay Tentang Iptek Dan Jawabannya from www.iris-n-rose.com
Do my assignment fast and with attention to detail. Posting pada contoh soal, past, tenses, vocabulary ditag #soal bahasa inggris kelas 8 semester 1 dan jawabannya, #soal bahasa inggris kelas 8 semester 2 dan kunci jawaban, contoh soal beserta kunci jawaban lengkap untuk tingkat smp, contoh soal ulangan harian kelas 8 dan untuk kesempatan kali ini kami akan membagikan 100 soal tema 1 kelas 4 semester 1 dan kunci jawaban revisi terbaru. Berikut dibawah ini soal tik dilengkapi kunci jawaban dengan pertanyaan dimulai dari nomor 1. Kumpulan soal latihan ulangan/ penilaian harian kelas 5 sd/mi tema 8 dan 9 semester 2 / genap lengkap dengan kunci jawabannya. Our team is based in the u.s. soal tik kelas 9 semester 1. Secara umum biasanya ulangan tengah semester (uts) atau penilaian tengah semester (pas) adalah kegiatan yang dilakukan oleh pendidik untuk mengukur pencapaian kompetensi peserta didik di.

Type file pada microsoft word 2007 adalah.

Artikel materi tentang soal ips kelas 8 tahun 2020 2021 smp mts lengkap pg dan essay kurikulum 2020 pelajaran ips untuk semester 1 dan 2. Myperfectwords.com is renowned soal essay penjaskes kelas 8 semester 1 dan kunci jawaban as the global source for professional paper writing services at all academic levels. Contoh soal tik kelas x untuk sma dan kunci jawabannya berikut ini, sebenarnya hampir mirip dengan soal tik kelas 7 untuk smp semester 1. Kali ini penulis akan membagikan soal essay tik kelas 8 semester 2 beserta jawabannya untuk dapat kalian pelajari untuk menghadapi ujian nanti. That's why we have entry tests for all applicants who want to work for soal essay pkn kelas 8 semester 1 dan kunci jawaban us. Klik start, menu program, microsoft word d. soal tik kelas 9 semester 1. Tentunya, dengan adanya tambahan 100 soal ini, akan menambah perbendaharaan soal di bidang informatika. soal kunci jawaban uts uas plh pendidikan lingkungan hidup semester 1 20162017 soal uas jawaban plh isian dan essay pendidikan lingkungan hidup kelas 5 v lima semester 2 ii 2019 jenis penyerbukan. 100 soal pengetahuan umum dan jawabannya bagian 2 kunci jawaban pilihan ganda ips sejarah kelas 8 semester i ktsp 2006 lks cerah ciptaan cv. Moreover, it won't affect the quality of a paper: Berikut ini adalah kisi kisi soal pretest ppg 2018 yang merupakan kumpulan file dari berbagi sumber kisi kisi ppg tentang soal essay tik kelas xii semester 1 dan kunci jawaban yang bisa bapak ibu gunakan dan diunduh secara gratis dengan menekan tombol download biru dibawah ini. Get custom papers created by academic experts.

Get custom papers created by academic experts. soal pts pai kelas 8 k13 dan kunci jawaban 2021/2022, download soal uts pai dan bp kelas viii smp/mts semester 1 kurikulum 2013 revisi terbaru. Kumpulan soal latihan ulangan/ penilaian harian kelas 5 sd/mi tema 8 dan 9 semester 2 / genap lengkap dengan kunci jawabannya. Sebelumnya apa itu ulangan / penilaian tengah semester (uts / pts). soal fix ujian tik kls ix 2012.

Berikut dibawah ini, soal uts prakarya kelas 8 semester ganjil k13 edisi revisi dilengkapi kunci jawaban dengan pertanyaan dimulai dari nomor 1. Soal Tik Kelas 8 Semester 2 Dan Jawabannya Ulangan Harian Rizsafa Informasi Pendidikan Informasi Pendidikan
Soal Tik Kelas 8 Semester 2 Dan Jawabannya Ulangan Harian Rizsafa Informasi Pendidikan Informasi Pendidikan from 1.bp.blogspot.com
soal ips kelas 9 smp/mts, pg dan essay 2021 ,semester 1 & soal dan jawaban uts pts bahasa inggris kelas 8 semester 1 kurikulum 2013 penilaian tengah semester pts adalah kegiatan yang dilakukan oleh pendidik untuk mengukur pencapaian kompetensi peserta didik di tengah semester. That's why we have entry tests for all applicants who want to work for soal essay pkn kelas 8 semester 1 dan kunci jawaban us. soal tik kelas 8 semester 2 pdf ini sudah dilengkapi beserta kunci jawaban. soal dan kunci jawaban pas kelas 7 mapel. soal tik kelas 11 semester 2 dan kunci jawaban revisi 2021. soal tik kelas 9 semester 1. Sebelumnya, admin juga telah mempublish 50 soal tik kelas xii semester ganjil yang berisikan materi soal tentang coreldraw dan juga photoshop.

Secara umum biasanya ulangan tengah semester (uts) atau penilaian tengah semester (pas) adalah kegiatan yang dilakukan oleh pendidik untuk mengukur pencapaian kompetensi peserta didik di.

Berikut ini kumpulan link soal dan jawaban latihan soal uts / pts kelas 8 smp / mts semester 1 (ganjil) tahun 2018 / 2019 kurikulum 2013. All our writers are degreed experts in soal essay ips kelas 8 semester 1 dan kunci jawaban many soal essay ips kelas 8 semester 1 dan kunci jawaban fields of study, thus it will be easy to handpick a professional who will provide the best homework assistance possible. kunci jawaban pts smp kelas 7 2019 semester 2 guru ilmu sosial. Berikut ini yang bukan merupakan cara mengaktifkan microsoft word adalah. Kali ini penulis akan membagikan soal essay tik kelas 8 semester 2 beserta jawabannya untuk dapat kalian pelajari untuk menghadapi ujian nanti. 100 soal pengetahuan umum dan jawabannya bagian 2 kunci jawaban pilihan ganda ips sejarah kelas 8 semester i ktsp 2006 lks cerah ciptaan cv. Berikut dibawah ini, soal uts prakarya kelas 8 semester ganjil k13 edisi revisi dilengkapi kunci jawaban dengan pertanyaan dimulai dari nomor 1. Guru sd smp sma file revisi soal essay ipa kelas 7 semester 1 dan kunci jawaban kunci jawaban ipa kelas 7 halaman 129 131 uji kompetensi 3 kosingkat. Sebelumnya apa itu ulangan / penilaian tengah semester (uts / pts). How to write soal essay tik kelas xii semester 1 dan kunci jawaban a thematic essay. Karena biasanya soal tik kelas 8 semester 2 yang akan diujikan tidak jauh berbeda dengan soal tahun sebelumnya. Type file pada microsoft word 2007 adalah. Jika ada link yang tidak aktif mohon.

Soal Essay Tik Kelas 8 Semester 1 Dan Kunci Jawaban - Soal Esai Tik Kelas X Semester 1 / Double click ikon microsoft word b.. We're not an offshore "paper mill" We're here to make you get the maximum score. Jika ada link yang tidak aktif mohon. (kunci jawaban soal ulangan akhir semester lainnya klik link). Double click ikon microsoft word b.

Posting Komentar untuk "Soal Essay Tik Kelas 8 Semester 1 Dan Kunci Jawaban - Soal Esai Tik Kelas X Semester 1 / Double click ikon microsoft word b."